Scientific Papers in SCI
2009
2009
Nanotecnología en Superficies y Plasma
Wetting Angles on Illuminated Ta2O5 Thin Films with Controlled Nanostructure
Rico, V; Borras, A; Yubero, F; Espinos, JP; Frutos, F; Gonzalez-Elipe, ARJournal of Physical Chemistry C, 113 (2009) 3775-3784

Ta2O5 thin films with different nanostructure and surface roughness have been prepared by electron evaporation at different angles between the evaporation source and the substrates. Large variation of refraction indexes (n) from 1.40 to 1.80 were obtained by changing the geometry of evaporation and/or by annealing the evaporated films at increasing temperatures up to 1000 °C to make them crystalline. Very flat and compact thin films (n = 2.02) were also obtained by assisting the growth by bombardment with O2+ ions of 800 eV kinetic energy. A similar correlation has been found between the wetting contact angle of water and the roughness of the films for the evaporated and evaporated + annealed samples, irrespective of their procedure of preparation and other microstructural characteristics. When the films were illuminated with UV light of h > Eg = 4.2 eV (Eg, band gap energy of Ta2O5), their surface became superhydrophilic (contact angle < 10°) in a way quite similar to those reported for illuminated TiO2 thin films. The rate of transformation into the superhydrophilic state was smaller for the crystalline than for the amorphous films, suggesting that in Ta2O5 the size of crystal domains at the surface is an important parameter for the control of this kinetics. Changes in the water contact angle on films illuminated with visible light were also found when they were subjected to implantation with N2+ ions of 800 eV kinetic energy. The origin of this photoactivity is discussed in terms of the electronic band gap states associated with the nitrogen-implanted atoms. The possibility of preparing antireflective and self-cleaning coatings of Ta2O5 is discussed.
March, 2009 | DOI: 10.1021/jp805708w
Nanotecnología en Superficies y Plasma
Water plasmas for the revalorisation of heavy oils and cokes from petroleum refining
Hueso, JL; Rico, VJ; Cotrino, J; Jimenez-Mateos, JM; Gonzalez-Elipe, AREnvironmental Science & Technology, 43 (2009) 2557-2562

This work investigates the possibility of using plasmas to treat high boiling point and viscous liquids (HBPVL) and cokes resulting as secondary streams from the refining of oil. For their revalorisation, the use of microwave (MW) induced plasmas of water is proposed, as an alternative to more conventional processes (i.e., catalysis, pyrolysis, combustion, etc.). As a main result, this type of energetic cold plasma facilitates the conversion at room temperature of the heavy aromatic oils and cokes into linear hydrocarbons and synthesis gas, commonly defined as syngas (CO + H2 gas mixture). The exposure of the coke to this plasma also facilitates the removal of the sulfur present in the samples and leads to the formation on their surface of a sort of carbon fibers and rods network and new porous structures. Besides, optical emission measurements have provided direct evidence of the intermediates resulting from the fragmentation of the heavy oils and cokes during their exposure to the water plasma. Furthermore, the analysis of the mass spectra patterns suggests a major easiness to break the aromatic bonds mainly contained in the heavy oils. Therefore, an innovative method for the conversion of low value residues from oil-refining processes is addressed.
March, 2009 | DOI: 10.1021/es900236b
Materiales Nanoestructurados y Microestructura
Duplex SiCN/DLC coating as a solution to improve fretting—Corrosion resistance of steel
Pech, D; Schupp, N; Steyer, P; Hack, T; Gachon, Y; Heau, C; Loir, AS; Sanchez-Lopez, JCWear, 266 (2009) 832-838

Fretting corrosion damages are commonly observed when two metallic bodies, which are in contact with each other, are subjected to oscillatory motions of low amplitude. Such kind of degradation mode is often responsible for limited durability of aeronautical joints. In the present paper, a multifunctional duplex coating based on Si–C–N and diamond-like carbon (DLC) materials, combining corrosion resistance and good tribological properties is described. Amorphous hydrogenated SiC, SiCN, SiC/DLC and SiCN/DLC were deposited on steel substrates by a plasma assisted chemical vapour deposition (PACVD) technique, using tetramethylsilane (TMS), ammonia (NH3) or acetylene (C2H2) as gas precursors. Nitrogen incorporation has shown to improve the corrosion protection ability of SiC coatings. The corrosion behaviour and the tribological performance in aqueous media of SiCN/DLC coating have therefore been investigated. A test rig has been designed to validate the fretting resistance of this duplex coating for aeronautic applications. It was found that the combination of a SiCN-based PACVD sublayer with a DLC topcoat could provide an enhanced solution to withstand both fretting and corrosion.
March, 2009 | DOI: 10.1016/j.wear.2008.12.007
Nanotecnología en Superficies y Plasma
Growth Mechanism and Chemical Structure of Amorphous Hydrogenated Silicon Carbide (a-SiC:H) Films Formed by Remote Hydrogen Microwave Plasma CVD From a Triethylsilane Precursor: Part 1
Wrobel, AM; Walkiewicz-Pietrzykowska, A; Ahola, M; Vayrynen, IJ; Ferrer-Fernandez, FJ; Gonzalez-Elipe, ARChemical Vapor Deposition, 15 (2009) 39-46
Amorphous hydrogenated silicon carbide (a-SiC:H) films are produced by remote microwave hydrogen plasma (RHP)CVD using triethylsilane (TrES) as the single-source precursor. The reactivity of particular bonds of the precursor in the activation step is examined using tetraethylsilane as a model compound for the RHP-CVD experiments. The susceptibility of a TrES precursor towards film formation is characterized by determining the yield of RHP-CVD and comparing it with that of the trimethylsilane precursor. The effect of substrate temperature (Ts) on the rate of the RHP-CVD process, chemical composition, and chemical structure of the resulting a-SiC:H films is reported. The substrate temperature dependence of the film growth rate implies that film growth is independent of the temperature and RHP-CVD is a mass transport-limited process. The examination of the a-SiC:H films, performed by means of X-ray photoelectron spectroscopy (XPS), elastic recoil detection analysis (ERDA), and Fourier transform infrared absorption spectroscopy (FTIR), reveals that the increase in the substrate temperature from 30 °C to 400 °C causes the elimination of organic moieties from the film and the formation of a Si-carbidic network structure. On the basis of the results of the structural study, the chemistry involved in film formation is proposed.
March, 2009 | DOI: 10.1002/cvde.200806726
Química de Superficies y Catálisis
Pillared clays with Al–Fe and Al–Ce–Fe in concentrated medium: Synthesis and catalytic activity
Sanabria, NR; Centeno, MA; Molina, R; Moreno, SApplied Catalysis A-General, 356 (2009) 243-249

This paper proposes a new methodology for the modification of clays with the mixed Al–Fe and Al–Ce–Fe systems, which involves the synthesis of solid polymeric precursors and their use as pillaring agents in the modification of clays. The process of intercalation of clay with Al13, Al13 + Fe and Al13 + Ce + Fe nitrate was performed using ultrasound. The pillaring agents Al13, Al13 + Fe and Al13 + Ce + Fe were characterized by XRF, XRD, SEM and 27Al NMR techniques, and pillared clays were characterized by XRF, XRD and N2 adsorption to 77 K. The catalytic properties of pillared clays were evaluated using catalytic wet peroxide oxidation of phenol in dilute aqueous medium, demonstrating activity comparable to that of solids modified by the conventional method.
March, 2009 | DOI: 10.1016/j.apcata.2009.01.013
Materiales de Diseño para la Energía y Medioambiente
Cutin synthesis: A slippery paradigm
Heredia, A; Heredia-Guerrero, JA; Dominguez, E; Benitez, JJBiointerphases, 4 (2009) P1-P3
Despite its biological importance, the mechanism of construction of cutin, the polymer matrix of plant cuticles, has not yet been elucidated. Recently, progress on lipid barrier formation of polymers such as cutin and suberin has been recently reviewed by Pollard et al. In their review the authors state that the ubiquitous cutin is the least understood of the plant extracellular polymers and that major questions about cutin structure and its macromolecular assembly remain to be resolved. At the time this paper was being published our research group has developed a new hypothesis on plant cutin synthesis.
March, 2009 | DOI: 10.1116/1.3063816
Nanotecnología en Superficies y Plasma
Study by grazing incident diffraction and surface spectroscopy of amalgams from ancient mirrors
Herrera, LK; Duran, A; Franquelo, ML; Gonzalez-Elipe, AR; Espinos, JP; Rubio-Zuazo, J; Castro, GR; Justo, A; Perez-Rodriguez, JLCentral European Journal of Chemistry, 7 (2009) 47-53

Characterization of four amalgam surfaces, with different alteration degrees from Andalusia historical mirrors, has been carried out by grazing-incidence X-ray diffraction (GIXRD), and other spectroscopic techniques (SEM/EDX, XPS, and REELS). The combination of all these techniques allows determining the corrosion state of the amalgams. The results show that the amalgams are composed in all cases of a binary alloy of tin and mercury. As mercury has high vapour pressure at RT, it slowly segregates and eventually evaporates, it leaves finely divided particles of tin that easily can be oxidize, forming tin monoxide (SnO) and tin dioxide (SnO2). In one of the samples, most of the amalgam remains unoxidized, since Hg0.1Sn0.9 and metallic Sn phases are the major components; in two other samples, Hg0.1Sn0.9 and Sn phases are not detected while SnO2 and SnO phases appear. Finally, in the last studied sample, only SnO2 phase is detected. The surface analyses of these samples by XPS show that, for most of them an unique chemical species (Sn4+) is found.
March, 2009 | DOI: 10.2478/s11532-008-0089-1
Química de Superficies y Catálisis
Redox chemistry of gold in a Au/FeOx/CeO2 CO oxidation catalyst
Penkova, A; Chakarova, K; Laguna, OH; Hadjiivanov, K; Saria, FR; Centeno, MA; Odriozola, JACatalysis Communications, 10 (2009) 1196-1202

Calcination and evacuation of a Au/FeOx/CeO2 catalyst at 573 K leads to reduction of the deposited gold to metal. This metal state is stable under oxygen and only at 573 K some metal atoms are oxidized to Auδ+ sites (Au+ cations situated on metal gold particles). However, even at room temperature, gold is readily oxidized in a CO + O2 mixture producing, in addition to the Auδ+ sites, some isolated Au+ cations.
March, 2009 | DOI: 10.1016/j.catcom.2009.01.014
Materiales de Diseño para la Energía y Medioambiente
Preferential Adsorption from Binary Mixtures on Graphite: The n-Decane−n-Heptan-1-ol System
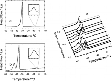
Alba, MD; Castro, MA; Clarke, S; Medina, S; Messe, L; Millan, C; Orta, MM; Perdigon, ACJournal of Physical Chemistry C, 113 (2009) 3176-3180

The competitive adsorption of n-decane and n-heptan-1-ol adsorbed from the binary liquid mixture onto graphite has been studied using differential scanning calorimetry, incoherent quasielastic neutron scattering, and 1H and 2H nuclear magnetic resonance. A solid monolayer is identified at all bulk solution compositions with a melting temperature that varies with bulk composition in a manner resembling the bulk behavior. Incoherent elastic neutron scattering, IQNS, and nuclear magnetic resonance, NMR, data indicate that decane is preferentially adsorbed onto the surface over most of the composition range, heptanol being the principal surface component only at very high heptanol concentrations. NMR is proved, for the first time, to be an efficient tool to provide independent information on each component of the system.
February, 2009 | DOI: 10.1021/jp8072014
Materiales Ópticos Multifuncionales
Towards a full understanding of the growth dynamics and optical response of self-assembled photonic colloidal crystal films
Lozano, GS; Dorado, LA; Depine, RA; Miguez, HJournal of Materials Chemistry, 19 (2009) 185-190

Recent advances in the comprehension of the growth dynamics of colloidal crystal films opens the door to rational design of experiments aiming at fabricating lattices in which the density of intrinsic defects is minimized. Since such imperfections have a dramatic effect on scattered light of wavelength smaller than the lattice constant, the evaluation of the experimental optical response at those energy ranges, based on the comparison to rigorous calculations, is identified as the most sensitive guide to accurately evaluate the progress towards the actual realization of defect-free colloidal crystals.
February, 2009 | DOI: 10.1039/b811955d
Materiales de Diseño para la Energía y Medioambiente
Synthesis of MCM-22 zeolites of different Si/Al ratio and their structural, morphological and textural characterisation
Delitala, C; Alba, MD; Becerro, AI; Delpiano, D; Meloni, D; Musu, E; Ferino, IMicroporous and Mesoporous Materials, 118 (2009) 1-10

MCM-22 zeolites with Si/Al in the 9–46 range were synthesised in rotating autoclave and characterised by X-ray diffraction, 1H, 29Si and 27Al magic angle spinning nuclear magnetic resonance, scanning electron microscopy and nitrogen physisorption. For the Si/Al = 21, 30 and 46 samples both X-ray diffraction and scanning electron microscopy revealed the crystallisation of pure MCM-22. Besides the latter, crystals of ferrierite also formed during the synthesis of the Si/Al = 9 sample. Based on the 1H MAS NMR spectra of dehydrated samples, the different proton species present on the MCM-22 samples were determined and quantified. Information about the incorporation of Al ions into the zeolite framework, as well as on the preferential crystallographic sites occupied in dependence on the Si/Al ratio of the sample, was obtained by 27Al MAS NMR spectroscopy. From 29Si MAS NMR spectra, differences in the degree of crystallinity of the samples were assessed, the results being in agreement with the diffraction data. Nitrogen physisorption runs revealed the microporous nature of the adsorbents, with a supermicropore to ultramicropore volume ratio in good agreement, for the best crystallised samples, with the porous structure with supercages and sinusoidal channels of the ideal MCM-22 crystal.
February, 2009 | DOI: 10.1016/j.micromeso.2008.07.047
Materiales de Diseño para la Energía y Medioambiente
Liquid-phase thiophene adsorption on MCM-22 zeolites. Acidity, adsorption behaviour and nature of the adsorbed products
Delitala, C; Cadoni, E; Delpiano, D; Meloni, D; Alba, MD; Becerro, AI; Ferino, IMicroporous and Mesoporous Materials, 118 (2009) 11-20

The liquid-phase adsorption of thiophene from thiophene/iso-octane solutions has been investigated in batch conditions at room temperature and atmospheric pressure on MCM-22 zeolites with Si/Al in the 9–46 range. Thiophene adsorption was found to occur in two steps whatever the Si/Al ratio of the adsorbent. The presence of ferrierite besides the MCM-22 phase caused a significant loss of the adsorption performance. For pure MCM-22 samples, the Si/Al ratio influenced the adsorption performance. Based on the acid properties of the samples, investigated by adsorption microcalorimetry of ammonia, the adsorption features were interpreted by assuming that positively charged species were originated during the first step; these species underwent successive reaction with weakly adsorbed species formed in the second step, leading to heavy molecular weight organosulphur compounds. Direct evidence for the occurrence of reactive adsorption of thiophene involving its transformation into heavy molecular weight organosulphur compounds was obtained by GC/MS investigation of the nature of the adsorbed material recovered after the adsorption experiments. The peculiar structure of MCM-22 zeolites made possible the formation of long-sized organosulphur compounds. Due to the mechanism by which thiophene is transformed (i.e. progressive addition of other thiophene molecules), the size of the resulting products was found to depend also on the concentration of the weakly adsorbed thiophene molecules able to interact with those already activated through protonation.
February, 2009 | DOI: 10.1016/j.micromeso.2008.08.008
Materiales Nanoestructurados y Microestructura
WC/a-C nanocomposite thin films: Optical and electrical properties
Abad, MD; Sanchez-Lopez, JC; Cusnir, N; Sanjines, RJournal of Applied Physics, 105 (2009) 033510

WC/amorphous carbon (a-C) thin films were deposited by dual magnetron sputtering from individual WC and graphite targets. The influence of film composition and microstructure on the optical and electrical properties was investigated. As evidenced by x-ray photoelectron spectroscopy and grazing angle x-ray diffraction measurements, the WC/a-C films are composite materials made of hexagonal W2C and/or cubic β-WC1−X nanocrystallites embedded in (a-C) matrix. The optical properties were studied by spectroscopic ellipsometry and the electrical resistivity was measured by the van der Pauw method between 20 and 300 K. Both the optical and the electrical properties of the WC/a-C films are correlated with the chemical composition and microstructure evolution caused by a-C addition. The optical properties of W2C/a-C and β-WC1−x/a-C films with a-C content ≤ 10 at. % are explained by modeling their dielectric functions by a set of Drude–Lorentz oscillators. Further increase in a-C content leads only to the formation of β-WC1−x/a-C nanocomposite structures and their optical properties progressively evolve to those of a-C single phase. The electrical resistivity as a function of the temperature of all the films exhibits a negative temperature coefficient of resistivity. Theoretical fitting using the grain-boundary scattering model shows that the transport properties are mainly limited by the grain size and electron mean free path parameters.
February, 2009 | DOI: 10.1063/1.3060717
Nanotecnología en Superficies y Plasma
Fabrication of ordered crystalline zirconium nanoporous membranes by an one-step procedure
Marquez, F; Morant, C; Pirota, KR; Borras, A; Sanz, JM; Elizalde, ENano Today, 4 (2009) 21-26

Crystalline porous zirconium membranes were obtained by physical vapor deposition on AAO templates at room temperature. These membranes were found to have similar hexagonal nanohole arrays as the template and high crystallinity. The pore size of the synthesized metallic membranes could be controlled during the synthesis through appropriate parameters in the experimental procedure.
February, 2009 | DOI: 10.1016/j.nantod.2008.10.012
Materiales de Diseño para la Energía y Medioambiente
Synthesis, Rietveld Analysis, and Solid State Nuclear Magnetic Resonance of X2-Sc2SiO5
Alba, MD; Chain, P; Gonzalez-Carrascosa, TJournal of the American Ceramic Society, 92 (2009) 487-490

Compounds containing rare earths are of increasing technological interest especially because of their unique mechanical, magnetic, electrical, and optical properties. Among them, rare earth oxyorthosilicates are attractive scintillators for γ- and X-ray spectroscopy and detection. However, there are many structural aspects of those compounds that are not clear. In this research, the structure parameters for Sc2Si2O5, X2-polymorph, have been refined from powder X-ray diffraction (XRD) data and the 29Si MAS NMR spectrum is reported for the first time. X2-Sc2SiO5 polymorph was synthesized by the sol–gel method and characterized by XRD and 29Si MAS NMR. The XRD pattern was indexed in a monoclinic unit cell with space group I2/c; the resulting unit cell parameters were a=9.9674(2) Å, b=6.4264(9) Å, c=12.0636(2) Å, and β=103.938(1)°. The 29Si MAS NMR spectrum showed a unique signal at −79.5 ppm, compatible with the unique Si crystallographic site in the unit cell. Finally, the band valence method has been applied to the calculation of a “shift parameter,” which is correlated with the NMR chemical shift.
February, 2009 | DOI: 10.1111/j.1551-2916.2008.02877.x
Materiales Coloidales - Materiales Ópticos Multifuncionales
Porous One-Dimensional Photonic Crystals Improve the Power-Conversion Efficiency of Dye-Sensitized Solar Cells
Colodrero, S; Mihi, A; Haggman, L; Ocana, M; Boschloo, G; Hagfeldt, A; Miguez, HAdvanced Materials, 21 (2009) 764-770

A device for solar-energy conversion was introduced in which a porous and highly reflecting 1D photonic crystal (1D PC) was coupled to a dye-sensitized nanocrystals anatase (NC-TiO2) electrode. The results show that the transparency of the PC-based dye-sensitized solar cells (DSSC) in the visible range of the electromagnetic spectrum is very similar to that of the reference cell. The multilayer whose photonic bandgap has a larger overlap with the absorption band of the ruthenium dye, gives rise to a larger enhancement of the photocurrent. It is also seen that the porous 0.5μm thick PC, whose deleterious effect is compensated by the large increment in photocurrent. The spectral photoelectric response of the cell clearly shows the effect that coupling to a PC has on the current photogenerated in the dye-sensitized electrode.
February, 2009 | DOI: 10.1002/adma.200703115
Materiales Ópticos Multifuncionales
Control over the Structural and Optical Features of Nanoparticle-Based One-Dimensional Photonic Crystals
Calvo, ME; Sanchez-Sobrado, O; Colodrero, S; Miguez, HLangmuir, 25 (2012) 2443-2448

Herein we present a detailed analysis of the effect of the spin-coating protocol over the optical properties of nanoparticle-based one-dimensional photonic crystals. Based on these results, we provide a reliable synthetic route to attain high-quality porous multilayers in which the effect of imperfections is minimized and whose Bragg diffraction can be precisely tuned over the entire visible and near-infrared spectrum. We present a systematic study of the effect of the acceleration ramp and final rotation speed over the structural and optical quality of these materials. This allows us to relate the structural variations observed with the different relative importance of fluid flow and solvent evaporation on the thinning of each layer in the stack for the different deposition conditions employed.
February, 2009 | DOI: 10.1021/la8030057
Materiales de Diseño para la Energía y Medioambiente
Phase separation of carboxylic acids on graphite surface at submonolayer regime
Alba, MD; Bickerstaffe, AK; Castro, MA; Clarke, SM; Medina, S; Millan, C; Orta, MM; Pavon, E; Perdigon, ACThe European Physical Journal Special Topics, 167 (2009) 151-156
Mixing behaviour of solid crystalline monolayers adsorbed onto graphite from different mixtures of undecanoic and dodecanoic acids at submonolayer coverage has been investigated. X-ray diffraction measurements have been collected from a variety of compositions as a function of temperature. An extensive phase separation is found for all the compositions – the scattering patterns characteristic of the pure material crystalline structures being preserved across the entire composition range. The temperature dependence of the monolayer melting points and their depression is also clearly indicative of separation of the two surface components, in clear contrast to that expected if the two carboxylic acids mixed ideally in the monolayer.
February, 2009 | DOI: 10.1140/epjst/e2009-00951-6
Nanotecnología en Superficies y Plasma
Porosity and microstructure of plasma deposited TiO2 thin films
Borras, A; Sanchez-Valencia, JR; Garrido-Molinero, J; Barranco, A; Gonzalez-Elipe, ARMicroporous and Mesoporous Materials, 118 (2009) 314-324

The microstructure of TiO2 thin films prepared by plasma enhanced chemical vapour deposition has been assessed by using water adsorption–desorption isotherms measured by means of a quartz crystal monitor (QCM). Thin films have been deposited by using titanium tetraisopropoxide as a precursor and by changing different experimental parameters of the deposition procedure such as temperature of the substrate, pressure, and gas composition in the plasma. The films were characteristic of different microstructures that, according to their scanning electron micrographs, have been categorized as columnar, homogeneous and crystalline. They also have different refraction indices with values between 1.95 and 2.41. Water and toluene adsorption isotherms have been measured by means of a QCM monitor for the films heated in vacuum to remove the water previously adsorbed in their pores. The analysis of the adsorption-desorption isotherms by means of the so called “t-plots” and the determination of the pore size distribution curves rendered that the three kinds of microstructures presented different kinds of isotherms and water adsorption behaviours. Columnar films consisted of micro- and meso-pores had a very high adsorption hystheresis at low pressures. Homogeneous films only had micropores and presented no adsorption hystheresis. Crystalline films consisted of both micro- and meso-pores but had no adsorption hystheresis at low pressures. A zone scheme has been proposed to account for the microstructure of the films depending on the plasma conditions utilized. The implications of the different water adsorption behaviours of the films for the determination of their refraction indices are discussed.
February, 2009 | DOI: 10.1016/j.micromeso.2008.09.002
Materiales Avanzados
Application of Geographic Information Systems (GIS) in the search for and characterization of raw materials of interest in ceramics and glass
Garzon, E; Garcia, IG; Ruiz-Conde, A; Sanchez-Soto, PJBoletín de la Sociedad Española de Cerámica y Vidrio, 48 (2009) 39-44
Materiales Nanoestructurados y Microestructura
Influence of the microstructure on the mechanical and tribological behavior of TiC/a-C nanocomposite coatings
Martinez-Martinez, D; Lopez-Cartes, C; Fernandez, A; Sanchez-Lopez, JCThin Solid Films, 517 (2009) 1662-1671

The performance of protective thin films is clearly influenced by their microstructure. The objective of this work is to study the influence of the structure of TiC/a-C nanocomposite coatings with a-C contents ranging from ~ 0% to 100% on their mechanical and tribological properties measured by ultramicroindentation and pin-on-disks tests at ambient air, respectively. The microstructure evolves from a polycrystalline columnar structure consisting of TiC crystals to an amorphous and dense TiC/a-C nanocomposite structure when the amount of a-C is increased. The former samples show high hardness, moderate friction and high wear rates, while the latter ones show a decrease in hardness but an improvement in tribological performance. No apparent direct correlation is found between hardness and wear rate, which is controlled by the friction coefficient. These results are compared to the literature and explained according to the different film microstructures and chemical bonding nature. The film stress has also been measured at the macro and micro levels by the curvature and Williamson–Hall methods respectively. Other mechanical properties of the coating such as resilience and toughness were evaluated by estimating the H3/E⁎2 and H/E⁎ ratios and the percentage of elastic work (We). None of these parameters showed a tendency that could explain the observed tribological results, indicating that for self-lubricant nanocomposite systems this correlation is not so simple and that the assembly of different factors must be taken into account.
January, 2009 | DOI: 10.1016/j.tsf.2008.09.091
Materiales Coloidales - Materiales Ópticos Multifuncionales
Experimental Demonstration of the Mechanism of Light Harvesting Enhancement in Photonic-Crystal-Based Dye-Sensitized Solar Cells
Colodrero, S; Mihi, A; Anta, JA; Ocaña, M; Miguez, HJournal of Physical Chemistry C, 113 (2012) 1150-1154

Herein, we report an experimental analysis of the photogenerated current of very thin and uniform dye-sensitized nanocrytalline titanium oxide (nc-TiO2) electrodes coupled to high-quality one-dimensional photonic crystals. The effect of well-defined optical absorption resonances are detected both in optical spectroscopy and photogenerated current experiments, a clear correspondence between them being established. Our study demonstrates that light trapping within absorbing electrodes is responsible for the absorption enhancement that has previously been reported and unveils the mechanism behind it. We prove that this effect improves significantly the power conversion efficiency of very thin electrodes.
January, 2009 | DOI: 10.1021/jp809789s
Nanotecnología en Superficies y Plasma
Luminescent and Optical Properties of Nanocomposite Thin Films Deposited by Remote Plasma Polymerization of Rhodamine 6G
Aparicio, FJ; Borras, A; Blaszczyk-Lezak, I; Groning, P; Alvarez-Herrero, A; Fernandez-Rodriguez, M; Gonzalez-Elipe, AR; Barranco, APlasma Processes and Polymers, 6 (2009) 17-26

Mechanically stable and insoluble fluorescent thin films have been deposited by sublimating Rhodamine 6G laser dye in the downstream region of a low-power microwave ECR plasma using an experimental set-up designed to control the interaction of the dye molecule with the glow discharge. The use of reactive organosilane plasmas allows to control the dye distribution inside the matrix, leading to solid nanocomposite thin films containing non-aggregated dye molecules. The suppression of aggregates is a key issue to avoid fluorescence quenching. The obtained nanocomposite films are interesting because of their strong absorption and high fluorescence emission. In addition, they can be patterned using in situ plasma treatments in order to produce optically functional devices.
January, 2009 | DOI: 10.1002/ppap.200800092
Nanotecnología en Superficies y Plasma
Optically Active Luminescent Perylene Thin Films Deposited by Plasma Polymerization
Blaszczyk-Lezak, I; Aparicio, FJ; Borras, A; Barranco, A; Alvarez-Herrero, A; Fernandez-Rodriguez, M; Gonzalez-Elipe, ARJournal of Physical Chemistry C, 113 (2009) 12840-12847

This work reports about the preparation of plasma polymerized thin films of perylene with thicknesses 30−150 nm and their characterization by different methods and the analysis of their optical properties. Highly absorbent and fluorescent films have been obtained by this method that combines the sublimation of the perylene molecules and their controlled polymerization by the interaction with remote Ar plasma. The polymeric films are very flat with a root mean square (rms) roughness in the range 0.3−0.4 nm. In contrast with the sublimated layers of perylene that present a high scattering of light, the polymerized films depict the well-defined absorption bands in the region 400−450 nm and fluorescence spectra of the perylene molecule at 475 nm. The films are formed by a matrix formed by cross-linked fragments of perylene and intact molecules that confer the observed optical properties to this material. The optical and microstructural characteristics of this type of thin films and the possibility to perform their deposition by using lithographic procedures make them suitable for their integration into photonic components for various applications. A preliminary study of the use of these films as an optical sensor of NO2 is also presented.
January, 2009 | DOI: http://pubs.acs.org/doi/abs/10.1021/jp807634j
General Quantum-Mechanical Study on the Hydrolysis Equilibria for a Tetravalent Aquaion: The Extreme Case of the Po(IV) in Water
Ayala, R; Martinez, JM; Pappalardo, RR; Paez, AM; Marcos, ESJournal of Physical Chemistry B, 113 (2009) 487-496

A systematic study of the different hydrolyzed species derived from the hydrated Po(IV) in water, [Po(H2O)n(OH)m](4−m) for 1 m 4, and 4 m + n 9, has been carried out by means of quantum mechanical computations. The effects of outer solvation shells have been included using a polarizable continuum dielectric model. For a fixed number of hydroxyl groups, the preferred hydration number for the Po(IV) can be determined in terms of Gibbs energy. It is shown that the hydration number (n) systematically decreases with the increase in the number of hydroxyl groups (m) in such a way the total coordination number (n + m) becomes smaller, being 9 in the aquocomplex and 4 in the neutral hydroxo-complex. Free energies for the hydrolysis processes involving Po(IV) complexes and a different number of hydroxyl groups have been computed, revealing the strong tendency toward hydrolysis exhibited by these complexes. The predominant species of Po(IV) in aqueous solutions are ruled by a dynamical equilibrium involving aggregates containing in the first coordination shell OH− groups and water molecules. Although there is not experimental information to check the theoretical predictions, theoretical computations in solution seem to suggest that the most likely clusters are [Po(H2O)5(OH)2]2+ and [Po(H2O)4(OH)2]2+. The geometry of the different clusters is ruled by the trend of hydroxyl groups to be mutually orthogonal and to promote a strong perturbation of the water molecule in trans-position by lengthening the Po−H2O distances and tilting the corresponding bond angle. A general thermodynamic cycle is defined to compute the Gibbs free energy associated to the formation of the different hydrolyzed forms in solution. From it, the estimates of pKa values associated to the different protolytic equilibria are provided and discussed. Comparison of the relative values of pKa along a hydrolysis series with the experimental values for other tetravalent cations supports its consistency.
January, 2009 | DOI: 10.1021/jp804957s
Química de Superficies y Catálisis
Gold nanoparticles on silica monospheres modified by amino groups
Penkova, A; Blanes, JMM; Cruz, SA; Centeno, MA; Hadjiivanov, K; Odriozola, JAMicroporous and Mesoporous Materials, 117 (2009) 530-534

Silica monospheres with a diameter of 330 nm modified with aminosilane compounds of three different basicities have been prepared. Surface coverage of the silica with an organic compound leads to an increase of the point of zero charge (PZC) of the silica surface from 2.1 to 5.1, 6.5 and 7.2 values, depending on the amine used. From these silicas, gold-containing catalysts have been prepared by a deposition–precipitation method at the same pH as the PZC of the support. The best results have been obtained using 3-(Diethoxymethylsilyl) propylamine as a modifying agent, which has allowed obtaining a good dispersion of the gold particles with an average size of 3.8 nm.
January, 2009 | DOI: 10.1016/j.micromeso.2008.07.041
2008
2008
Characterization of iron oxide-based pigments by synchrotron-based micro X-ray diffraction
Herrera, LK; Cotte, M; de Haro, MCJ; Duran, A; Justo, A; Perez-Rodriguez, JLApplied Clay Science, 42 (2008) 57-62
The characterization of iron in microsamples by conventional X-ray diffraction is difficult due to its low concentration in thin layers and its low reflecting power relative to other phases. Synchrotron radiation can provide unique information because of high intensity, sample penetration, small beam diameter and fast data collection. In this study, micro X-ray diffraction (mu-XRD) data were obtained of two samples taken from wall paintings at San Agustin's Church in Cordoba. Crystalline iron phases such as goethite, lepidocrocite and hematite in the cross-section of the painting thin layers were identified. with a good spatial resolution. Conventional XRD only detected hydrocerussite and cerussite rather than the full range of iron phases found in the mu-XRD experiments.
December, 2008 | DOI: 10.1016/j.clay.2008.01.021
Materiales de Diseño para la Energía y Medioambiente
Fabrication, chemical etching, and compressive strength of porous biomimetic SiC for medical implants
Torres-Raya, C; Hernandez-Maldonado, D; Ramirez-Rico, J; Garcia-Ganan, C; de Arellano-Lopez, AR; Martinez-Fernandez, JJournal of Materials Research, 23 (2008) 3247-3254
BioSiC is a biomimetic SiC-based ceramic material fabricated by Si melt infiltration of carbon preforms obtained from wood. The microstructure of bioSiC mimics that of the wood precursor. which can be chosen for tailored properties. When the remaining g unreacted Si is removed. a SiC Material with interconnected porosity is obtained. This porous bioSiC is Under study for its use as a medical Implant material. We have successfully fabricated bioSiC from Sipo wood and Studied the kinetics of Si removal by wet etching. The results suggest that the reaction is diffusion-limited, and the etch rate follows a t(-0.5) law. The etching rate is found to be anisotropic, which can be explained attending to the anisotropy of the pore distribution. The compressive strength was studied as a function of etching, time. and the results show a quadratic dependence with density. In the attainable ran-e of densities, the strength is similar or better than that of human bone.
December, 2008 | DOI: 10.1557/JMR.2008.0392
Química de Superficies y Catálisis
Photocatalytic Degradation of 2,4-Dichlorophenoxyacetic Acid Over ZrO2, Cu/ZrO2 and Fe/ZrO2 Photocatalysts Synthesized by Sol Gel Method
Alvarez, M; Lopez, T; Odriozola, JA; Gonzalez, RDJournal of Nanoscience and Nanotechnology, 8 (2008) 6414-6418
Photocatalytic oxidation of 2,4-dichlorophenoxyacetic acid was performed over ZrO2, Cu/ZrO2 and Fe/ZrO2 catalysts prepared by the sol-gel method. The samples were annealed at 400 degrees C. Textural and electronic characterization was carried out using BET and UV-Vis in order to establish the relationship between surface, pore volume and E. with the photoactivity of the materials. The degradation of the acid was followed by UV-Vis spectroscopy. The disappearance of the herbicide in solution follows approximately pseudo-first order kinetics. The apparent rate constants were calculated for the three catalysts. The results reveal that Fe/ZrO2 exhibits the best photoactivity for the degradation of 2,4-dichlorophenoxyacetic acid.
December, 2008 | DOI: 10.1166/jnn.2008.003
Materiales Nanoestructurados y Microestructura - Tribología y Protección de Superficies
Comparative performance of nanocomposite coatings of TiC or TiN dispersed in a-C matrixes
Martinez-Martinez, D; Lopez-Cartes, C; Fernandez, A; Sanchez-Lopez, JCSurface & Coatings Technology, 203 (2008) 756-760
Titanium carbide (TiC) and nitride (TiN) are two of the most used materials in the field of protective coatings, due to their optimal mechanical and tribological properties. The addition of the second phase can provide extra benefits to the coating, like improved hardness, reduced friction and/or oxidation resistance. In this work, we present two series of coatings in which hard crystalline TiC and TiN phases are mixed at the nanometric level with a soft lubricant phase like amorphous carbon (a-C). Both series of TiC/a-C and TiN/a-C nanocomposite coatings were prepared by double magnetron sputtering of C and Ti(N) targets in a Ar atmosphere (P = 5 x 10(-3) Torr) by changing the power ratio applied to each magnetron. The chemical composition has been measured by electron energy loss spectroscopy, and the phase composition changes gradually from pure C to pure TiC or TiN through nanocomposite structures with variable phase contents. These structures are confirmed by transmission electron microscopy and diffraction techniques. like X-ray diffraction and electron diffraction. The mechanical and tribological properties are found to be mainly controlled by the hard/soft phase ratio present in the coating. The changes in hardness values follow similar trends in both types of nanocomposite samples. Introducing a small amount of TiN or TiC into a-C matrix causes a hardness reduction, but further addition of crystalline phase makes increase the hardness. The best tribological properties are found for nanocomposite coatings (both TiN/a-C and TiC/a-C) with high amount of a-C (> 65%), showing low friction values (f similar to 0.1) and high wear resistance (k about 10(-7) mm(3) N-1 m(-1)). However, coatings with 50-60% a-C show a good compromise between tribological and mechanical properties.
December, 2008 | DOI: 10.1016/j.surfcoat.2008.08.064
Nanotecnología en Superficies y Plasma
Synthesis of Supported Single-Crystalline Organic Nanowires by Physical Vapor Deposition
Borras, A; Aguirre, M; Groening, O; Lopez-Cartes, C; Groening, PChemistry of Materials, 20 (2008) 7371-7373
A general one-step method for the growth of supported porphyrin and phthalocyanine single-crystalline nanowires is reported. This methodology permits the growth of a novel type of open core@shell organic nanowires. These 1D heterostructured materials consist in inner porphyrin nanowire cores wrapped by phthalocyanine nanobelt shells.
December, 2008 | DOI: 10.1021/cm802172p
Nanotecnología en Superficies y Plasma
Growth and characterization of the ZnO/ZnS bilayer obtained by chemical spray pyrolysis
Lopez, MC; Espinos, JP; Leinen, D; Martin, F; Centeno, SP; Romero, R; Ramos-Barrado, JRApplied Surface Science, 255 (2008) 2118-2124
ZnO/ZnS bilayer antireflection coatings have been prepared by spray pyrolysis using aqueous solutions of zinc acetate and thiourea or zinc chloride and thiourea. The structure, surface morphology, chemical composition and optical transmittance of the bilayer have been examined as a function of the composition of the initial solution. X-ray photoelectron spectroscopy analysis and Ar ion-beam sputter etching was carried out to obtain a depth profile of bilayer. Neither carbon nor other by-products, which could alter the optical transmittance of the bilayer were found in either the interface or bulk. The differences between the bilayers arise from the annealing of the ZnS underlayer, as well as the precursor used to prepare it.
December, 2008 | DOI: 10.1016/j.apsusc.2008.06.195
Materiales Nanoestructurados y Microestructura
Influence of the Capping Molecule on the Magnetic Behavior of Thiol-Capped Gold Nanoparticles
Crespo, Patricia; Guerrero, Estefania; Angel Munoz-Marquez, Miguel; Hernando, Antonio; Fernandez, AsuncionIEEE Transactions on Magnetics, 44 (2008) 2768-2771
Gold nanoparticles with an average particle size below 3 nm have been synthesized and stabilized with different thiol-derivatized molecules for studying the influence of the capping molecule on the magnetic behavior. Thiolated-alkane chains with different lengths as well as a thiol-containing biomolecule (tiopronin) have been selected as protecting shells for the synthesized NPs. Magnetic characterization indicates that the appearance of a ferromagnetic-like behavior is related not only with the formation of Au-S bonds linking the protective molecules to the nanoparticle surface but also with the formation of the nanoparticle itself as well as with the geometry of the capping molecule. The later seems to determine whether the protective monolayer shell is ordered or not. The simultaneous presence of Au-Au and Au-S bonds together with a reduced particle diameter, and the formation of an ordered monolayer protective shell, have been proved to be key parameters for the ferromagnetic-like behavior exhibited by thiol-functionalized gold NPs.
November, 2008 | DOI: 10.1109/TMAG.2008.2001990
Materiales Nanoestructurados y Microestructura - Tribología y Protección de Superficies
Catalytic growth of carbon nanotubes on stainless steel: Characterization and frictional properties
Abad, MD; Srichez-Lopez, JC; Berenguer-Murcia, A; Golovko, VB; Cantoro, M; Wheatley, AEH; Fernandez, A; Johnson, BFG; Robertson, JDiamond and Related Materials, 17 (2008) 1853-1857
Carbon nanotubes (CNTs) have been grown both on a sample of stainless steel (317-2R) and on the same steel coated with cobalt colloid nanoparticles. Both materials are suitable supports for the growth of vertically aligned carbon nanotubes, although a more sparse growth of significantly thicker carbon nanotubes is observed in the case of the bare steel. We find that carbon nanotubes grown directly on the stainless steel support show very poor tribological behaviour whereas the support using nanoparticles for carbon nanotube growth displayed interesting tribological properties with friction coefficients of approximately 0.1-0.2. The modified CNT material (studied by Raman spectroscopy) adheres to both mating surfaces avoiding direct contact between asperities and plough so the friction and wear processes decrease greatly.
November, 2008 | DOI: 10.1016/j.diamond.2008.03.021
Nanotecnología en Superficies y Plasma
Plasmas and atom beam activation of the surface of polymers
Lopez-Santos, C; Yubero, F; Cotrino, J; Barranco, A; Gonzalez-Elipe, ARJournal of Physics D-Applied Physics, 41 (2008) 225209
Wetting properties of polyethylene terephthalate (PET) and low-density polyethylene polymers have been investigated after treatment with a microwave (MW) plasma discharge at low pressure and a dielectric barrier discharge at atmospheric pressure. Experiments have also been carried out in situ with an atom source installed in an x- ray photoemission spectrometer (XPS). The water contact angle measured on both polymers experienced a significant decrease after activation, but a progressive recovery up to different values after ageing. Standard chemical analysis by XPS showed that the plasma and oxygen beam treatments produced an increase in the concentration of -C(O) x functional groups at the outermost surface layers of the treated polymers. Besides, the oxygen distribution between the topmost surface layer and the bulk has been obtained by non- destructive XPS peak shape analysis. Atomic force microscopy analysis of the surface topography showed that, except for PET treated with the MW plasma and the atom beam, the surface roughness increased after the plasma treatments. Wetting angle variations, oxygen content and distribution, surface roughness and evolution of these properties with time are comparatively discussed by taking into account the basic processes that each type of activation procedure induces in the outmost surface layers of the treated polymers.
November, 2008 | DOI: 10.1088/0022-3727/41/22/225209
Química de Superficies y Catálisis
Pt/TiO2 brain biocompatible nanoparticles: GBM treatment using the C6 model in Wistar rats
Lopez, T; Recillas, S; Guevara, P; Sotelo, J; Alvarez, M; Odriozola, JAActa Biomaterialia, 4 (2008) 2037-2044
In the present work we synthesized inorganic oxide nanoparticle carriers of platinum compounds and tested their therapeutic effect on animal models in which C6 glioma cells have been inoculated. TiO2-containing Pt(NH3)(4)Cl-2 complexes were synthesized using sol-gel methods. The platinum species are chemically bonded to the TiO2 carrier, as shown by Fourier transform infrared spectroscopy of probe molecules. Treatment with TiO2-Pt nanoparticles reduces tumour growth rate by up to 56%, showing that a synergistic effect exists between the TiO2 carrier and the platinum drug.
November, 2008 | DOI: 10.1016/j.actbio.2008.05.027
Nanotecnología en Superficies y Plasma
Optical properties of Zr and ZrO2 films deposited by laser ablation
Prieto-Lopez, LO; Yubero, F; Machorro, R; De La Cruz, WMicroelectronics Journal, 39 (2008) 1371-1373
Optical properties of Zr and ZrO2 films in the energy range from 1.5 to 100eV were obtained by quantitative analysis of reflection electron energy loss spectroscopy (REELS) and ellipsometry. The films were prepared oil (I 1 1) silicon substrates by reactive laser ablation using a zirconium target. For the growth of ZrO2 films a pressure of 5 m Torr of oxygen in the growth chamber was used. The substrate temperature during deposition was 400 degrees C. The deposits were Studied ex situ by X-ray diffraction (XRD) and in situ by X-ray photoelectron spectroscopy (XPS) and REELS. The ZrO2 films were found to be polycrystalline With monoclinic structure. The XPS results showed that the oxygen pressure used is the optimal control to produce ZrO2 films by laser ablation. A gap of 5eV for the ZrO2 film W IS measured by REELS.
November, 2008 | DOI: 10.1016/j.mejo.2008.01.048
Reactividad de Sólidos
Kissinger kinetic analysis of data obtained under different heating schedules
Sanchez-Jimenez, PE; Criado, JM; Perez-Maqueda, LAJournal of Thermal Analysis and Calorimetry, 94 (2008) 427-432
The dynamic heating rate method developed by TA Instruments (Hi-ResTM) is a kind of sample controlled thermal analysis in which a linear relationship between the logarithm of the heating rate and the rate of mass change is imposed. It is shown in this paper that the reacted fraction at the maximum reaction rate strongly depends on the parameters selected for the Hi-Res heating algorithm, what invalidates the use of the Kissinger method for analysing Hi-Res data unless that the reaction fits a first order kinetic law. Only in this latter case, it has been demonstrated that it is not required that a constant value of the reacted fraction at the maximum reaction rate is fulfilled for determining the activation energy from the Kissinger method. In such a case the Kissinger plot gives the real activation energy, independently of both the heating schedule used and the value of the reacted fraction, alpha(m), at the maximum.
November, 2008 | DOI: 10.1007/s10973-008-9200-2
Reactividad de Sólidos
New production of TiCxN1-x-based cermets by one step mechanically induced self-sustaining reaction: Powder synthesis and pressureless sintering
Cordoba, JM; Alcala, MD; Aviles, MA; Sayagues, MJ; Gotor, FJJournal of The European Ceramic Society, 28 (2008) 2085-2098
TiCxN1-x-based powdered cermets were synthesized by a one step mechanically induced self-sustaining reaction (MSR) process from mixtures of elemental powders, and subsequently sintered by a pressureless method. The composition and microstructure of the ceramic and binder phases before and after the sintering process were studied by X-ray diffraction, scanning and transmission electron microscopy, and electron diffraction. The powdered cermets showed excellent binder dispersion and a nanometer character for the ceramic and binder particles. The TiCxN1-x stoichiometry was consistently richer in carbon than expected from the raw powder composition. An important amount of titanium was present in the binder after MSR synthesis, and intermetallic Ti-Ni or Ti-Co phases were obtained in some cases. After sintering, the binder phase was always constituted by intermetallic compounds. The morphology of the ceramic phase in the final bodies was dependent on the C/N ratio of TiCxN1-x and its growth primarily occurred through a coalescence process. The presence of titanium in the binder reduced hard particle solubility in the melted binder and its grain growth.
October, 2008 | DOI: 10.1016/j.jeurceramsoc.2008.02.007
Materiales y Procesos Catalíticos de Interés Ambiental y Energético
Synthesis, characterization, and photodegradation behavior of single-phase anatase TiO2 materials synthesized from Ti-oxychloride precursors
Colon, Gerardo; Sampedro, Patricia; Fernandez-Garcia, Marcos; Chen, Haiyan; Hanson, Jonathan C.; Rodriguez, Jose A.Langmuir, 24 (2008) 11111-11118
Single-phase anatase-TiO2 nanomaterials with a size of ca. 10 nm and variable quantities of anion impurities were prepared using a novel pathway based on the use of amorphous ammonium Ti-oxychloride precursors synthesized using Ti/Cl initial ratios between 1 and 6. The precursor nature and evolution under thermal treatment were studied using chemical analysis, XRD, XPS, DRIFTS, and mass spectrometry. The nature and concentration of anatase-TiO2 materials anion impurities were analyzed by XPS and DRIFTS. It is shown that negatively charged impurities located in substitutional positions of the anatase network are maximized for a sample synthesized using a Ti/Cl 1:1 atomic ratio and are responsible for the elimination of liquid-phase (phenol) and gas-phase (isopropanol or methylcyclohexane) pollutants under sunlight excitation. A link is established among the initial chemical characterization of the precursors, the final morphological, structural, and chemical composition of the oxide materials, and their photochemical properties.
October, 2008 | DOI: 10.1021/la8014018
Nanotecnología en Superficies y Plasma
Role of water in the CO oxidation reaction on Au/CeO2: Modification of the surface properties
Romero-Sarria, F; Penkova, A; Martinez, LM; Centeno, MA; Hadjiivanov, K; Odriozola, JAApplied Catalysis B-Environmental, 84 (2008) 119-124
A metallic monolith coated with 1% Au/CeO2 Catalyst has been calcined at 300 degrees C and tested in the CO oxidation reaction both in "dry" and "wet" conditions. The light-off curves show a positive effect of the presence of water in the reactive feed on the catalytic activity. With the aim to explain these observations, a FTIR CO adsorption study at liquid nitrogen temperature was performed over a similar powder catalyst. At this low temperature the oxygen mobility from the bulk to the surface is minimized and then surface phenomena are evidenced. Both, the effect of different pre-treatments of the catalysts and the presence of pre-adsorbed water on the surface have been examined. The studies reveal that the previous treatment of the sample deeply affects the surface species and the gold particle size. The water addition provokes oxidation of the surface and improves the CO oxidation activity.
October, 2008 | DOI: 10.1016/j.apcatb.2008.03.010
Materiales Coloidales
Synthesis of Spherical Down- and Up-Conversion NaYF4-Based Nanophosphors with Tunable Size in Ethylene Glycol without Surfactants or Capping Additives
Nunez, NO; Miguez, H; Quintanilla, M; Cantelar, E; Cusso, F; Ocana, MEuropean Journal of Inorganic Chemistry, 29 (2008) 4517-4524
A very simple route for the synthesis of spherical down-conversion (DC) and up-conversion (UC) NaYF4-based nanophosphors is described which consists of a precipitation reaction at rather low temperature (max. 120 degrees C) from solutions containing sodium fluoride and appropriate Ln precursors in a common solvent (ethylene glycol/water mixtures), without the use of any other additive (complexing agent or surfactant). The role played by the nature of the yttrium precursor and the solvent on the morphological characteristics of the nanoparticles is discussed. The size of the nanospheres, which crystallized in the cubic alpha-NaYF4 phase, could be tuned within the 45-155 nm range by adjusting the reaction parameters (temperature and ethylene glycol/water ratio). The applicability of this method is illustrated for the synthesis of Eu-III-doped (DC), Tb-III-doped (DC) and Yb-III/Er-III codoped (UC) NaYF4 nanophosphors, whose luminescent properties were also analysed.
October, 2008 | DOI: 10.1002/ejic.200800363
Materiales de Diseño para la Energía y Medioambiente
Crystallographic texture in Al2O3-ZrO2 (Y2O3) directionally solidified eutectics
Ramirez-Rico, J; de Arellano-Lopez, AR; Martinez-Fernandez, J; Pena, JI; Larrea, AJournal of The European Ceramic Society, 28 (2008) 2681-2686
Directionally solidified Al2O3-based eutectics are in situ composites grown from the melt. The directional nature of the solidification process makes these materials highly anisotropic and therefore the measurement and quantification of their crystallographic texture is necessary to understand their physical properties. We studied the texture of Al2O3-ZrO2 (12 mol% Y2O3) eutectic rods by means of X-ray and electron backscattering diffraction. The phases grow according to the relationship (10 (1) over bar2}(Al2O3) //{110}(ZrO2) and Al2O3 is oriented with its c-axis approximately parallel to the growth direction. We observed that the c-axis orientation is not constant throughout the sample, but instead changes according to the distance from the growth axis. The c-axis orientation spread was found to be 10 degrees. This spread is a consequence of the curvature of the liquid-solid interface during solidification, whose shape we reconstructed using EBSD data.
October, 2008 | DOI: 10.1016/j.jeurceramsoc.2008.04.015
Nanotecnología en Superficies y Plasma
Nanostructural control in solution-derived epitaxial Ce1-xGdxO2-y films
Coll, M; Gazquez, J; Sandiumenge, F; Puig, T; Obradors, X; Espinos, JP; Huhne, RNanotechnology, 19 (2008) 395601
A novel mechanism based on aliovalent doping, allowing fine tuning of the nanostructure and surface topography of solution-derived ceria films, is reported. While under reducing atmospheric conditions, non-doped ceria films are inherently polycrystalline due to an interstitial amorphous Ce2C3 phase that inhibits grain growth, a high quality epitaxial film can be achieved simply by doping with Gd3+ cations. Gd3+ <-> Ce4+ substitutions within the lattice are accompanied by charge-compensating oxygen vacancies throughout the volume of the crystallites acting as an efficient vehicle to reduce the barrier for grain boundary motion caused by interstitial Ce2C3. In this way, the original nanostructure is self-purified by pushing the amorphous Ce2C3 phase towards the free surface of the film. Once a full epitaxial cube-on-cube oriented ceria film is obtained, its surface morphology is dictated by the interplay between faceting on low energy {110} and/or {111} pyramidal planes and truncation of those pyramids by (001) ones. The development of the latter requires the suppression of their polar character which is thought to be achieved by charge compensation between the dopand and oxygen along < 100 > directions.
October, 2008 | DOI: 10.1088/0957-4484/19/39/395601
Materiales de Diseño para la Energía y Medioambiente
The Role of Hydroxyl Groups in the Self-Assembly of Long Chain Alkylhydroxyl Carboxylic Acids on Mica
Benitez, JJ; Heredia-Guerrero, JA; Serrano, FM; Heredia, AJournal of Physical Chemistry C, 124 (2008) 16391-16401
The adsorption and self-assembly of hydroxylated long chain fatty acids on mica has been studied by AFM. The presence of secondary midchain hydroxyl groups is found to strongly affect the self-assembly process via the reinforcement of lateral interactions between molecules by -OH center dot center dot center dot HO- hydrogen bonding. On the other side, the availability of an exposed terminal hydroxyl group in the acid molecule triggers the formation of a second layer due to the strength of tile -OH center dot center dot center dot HOOC- tail-to-head interaction. Surface coverage (theta) data follow a Langmuir-type relationship vs solution concentration (c). The analysis of the slope of 1/theta vs 1/c plots provides a relative estimation of the adsorption enthalpy for the formation of the first and second monolayers. Based on that, both the contribution of molecule-substrate and lateral molecule-molecule energy terms are found to be relevant in the self-assembly of this type of molecule oil mica.
October, 2008 | DOI: 10.1021/jp805445z
Materiales Coloidales - Materiales Ópticos Multifuncionales
Photoconducting Bragg Mirrors based on TiO2 Nanoparticle Multilayers
Calvo, ME; Colodrero, S; Rojas, TC; Anta, JA; Ocana, M; Miguez, HAdvanced Functional Materials, 18 (2008) 2708-2715
A synthetic route to building photoconducting films of TiO2 nanoparticles that display bright structural color is presented. The color arises as a result of the periodic modulation of the refractive index, which is achieved by controlling the degree of porosity of each alternate layer through the particle size distribution of the precursor suspensions. The suspensions are cast in the shape of a film by spin-coating, which allows tailoring of the lattice parameter of the periodic multilayer, thus tuning the Bragg peak spectral position (i.e., its color) over the entire visible region. Photoelectrochemical measurements show that the Bragg mirrors are conductive and distort the photocurrent response as a result of the interplay between photon and electron transport.
September, 2008 | DOI: 10.1002/adfm.200800039
Nanotecnología en Superficies y Plasma
Preillumination of TiO2 and Ta2O5 photoactive thin films as a tool to tailor the synthesis of composite materials
Sanchez-Valencia, JR; Borras, A; Barranco, A; Rico, VJ; Espinos, JP; Gonzalez-Elipe, ARLangmuir, 24 (2008) 9460–9469
Illumination of TiO2 thin films with UV light is known to induce the transformation of the surface of this material from partially hydrophobic into fully hydrophilic. The present work shows that this transformation is accompanied by other effects that may be used to control the synthesis of composite materials. For this purpose, TiO2 and Ta2O5 transparent thin films with a columnar structure and open pores were prepared by electron evaporation at glancing angles. Transparent TiO2 thin films with micropores (i.e., pores smaller than 2 nm) prepared by plasma enhanced chemical vapor deposition (PECVD) were also used. All these films became hydrophilic upon UV illumination. Rhodamine 6G and Rhodamine 800 dyes were irreversibly adsorbed within the columns of the TiO2 and Ta2O5 thin films by immersion into a water solution of these molecules. Isolated and aggregated molecules of these two dyes were detected by visible absorption spectroscopy. The infiltration adsorption efficiency was directly correlated with the acidity of the medium, increasing at basic pHs as expected from simple considerations based on the concepts of the point of zero charge (PZC) in colloidal oxides. The infiltration experiments were repeated with columnar TiO2 and Ta2O5 thin films that were subjected to preillumination with UV light. It was found that this treatment produced a modification in the type (isolated or aggregated) and amount of dye molecules incorporated into the pores. Moreover, the selective adsorption of a given dye in preilluminated areas of the films permitted the lithographic coloring of the films. Preillumination also controls the UV induced deposition of silver on the Surface of the microporous TiO2 thin films. It was found that the size distribution of the formed silver nanoparticles was dependent on the preillumination treatment and that a well-resolved surface plasmon resonance at around 500 nm was only monitored in the preilluminated films. A model is proposed to account for the effects induced by UV preillumination on the TiO2 and Ta2O5 oxide surfaces. The possibilities of this type of light treatment for the tailored synthesis of nanocomposite thin films (i.e., dye-oxide, metal nanoparticles-oxide) are highlighted.
September, 2008 | DOI: 10.1021/la800773v
Fotocatálisis Heterogénea: Aplicaciones - Materiales y Procesos Catalíticos de Interés Ambiental y Energético
Highly photoactive ZnO by amine capping-assisted hydrothermal treatment
Colon, G; Hidalgo, MC; Navio, JA; Melian, EP; Diaz, OG; Rodriguez, JMDApplied Catalysis B-Environmental, 83 (2020) 30-38
ZnO nanoparticles have been prepared by amine template assisted sol-gel precipitation and further hydrothermal treatment. We have investigated the effect of different pH values achieved by means of triethylamine (TEA) addition in the final surface and structural properties. Two sets of samples were obtained after thermal treatment, one with no hydrothermal pre-treatment and a second hydrothermally pre-treated. Surprisingly the precipitate obtained after the amine addition also exhibits good photocatalytic properties. It has been stated that calcination treatment leads in both sets of samples to a significant improvement in the photocatalytic properties of the studied systems. Therefore, interesting comparison has been performed between hydrothermal pre-treated and direct thermal treated samples. Surface and morphological features notably differ from ZnO prepared using different synthetic route. Wide Surface and structural characterization of the samples have been carried out, and correlations with precipitation pH are pointed out from this characterization. In all cases. the amine templated ZnO obtained exhibit high conversion values for phenol photo-oxidation reaction. Further calcination treatment in all of the studied samples clearly leads to photocatalytic conversions higher than that exhibited by TiO2 Degussa P25. This fact is even more significant if we consider that hydrothermally and calcined ZnO exhibit almost null surface area values. leading to a startling intrinsic photoactivity. The structural excellence (crystallinity, lack of defects, crystallite size, etc.) of such systems is clearly responsible for their high photoactivity values.
September, 2008 | DOI: 10.1016/j.apcatb.2008.01.033
Materiales Nanoestructurados y Microestructura - Tribología y Protección de Superficies
Influence of particle size on electrochemical and gas-phase hydrogen storage in nanocrystalline Mg
Friedrichs, O; Kolodziejczyk, L; Sanchez-Lopez, JC; Fernandez, A; Lyubenova, L; Zander, D; Koster, U; Aguey-Zinsou, KF; Klassen, T; Bormann, RJournal of Alloys and Compounds, 463 (2008) 539-545
Nanocrystalline Mg powders of different particle size were obtained by inert gas evaporation and studied during electrochemical and gas-phase hydrogen cycling processes. The samples were compared to dehydrided samples obtained by mechanical milling of MgH2 with and without 2 mol% Nb2O5 as catalyst. The hydrogen overpotential of the pure Mg, which is a measure of the hydrogen evolution at the electrode surface, was observed to be reduced with smaller particle sizes reaching values comparable to samples with Nb2O5 additive. On the other hand gas-phase charging experiments showed the capacity loss with smaller particle sizes due to oxidation effects. These oxidation effects are different depending on the synthesis method used and showed a major influence on the hydrogen sorption kinetics.
September, 2008 | DOI: 10.1016/j.jallcom.2007.09.085
Reactividad de Sólidos
Thermal characterization of montmorillonite clays saturated with various cations
Balek, V; Benes, M; Subrt, J; Perez-Rodriguez, JL; Sanchez-Jimenez, PE; Perez-Maqueda, LA; Pascual-Cosp, JJournal of Thermal Analysis and Calorimetry, 92 (2008) 191-197
Emanation thermal analysis (ETA), thermogravimetry and high temperature XRD were used to characterize the thermal behavior during dehydration of natural Na montmorillonite (Upton Wyoming, USA) and homoionic montmorillonite (MMT) samples saturated with different cations, i.e. Li+, Cs+, NH4+, Mg2+ and Al3+. ETA results characterized radon mobility and microstructure changes that accompanied the mass loss of the samples due to dehydration on heating in air. A collapse of interlayer space between the silicate sheets after water release from the MMT samples was characterized by a decrease of the radon release rate, Delta E. Decreases in c-axis basal spacing (d(001)) values determined from XRD patterns for the different montmorillonite samples follow the sequence:
Mg-MMT>AI-MMT>Li-MMT>Na-MMT>NH4-MMT>Cs-MMT
The decrease of the radon release rate (Delta E) determined by ETA that characterized microstructure changes due to collapse of interlayer space corresponded well to differences in the c-axis basal spacing (Delta d(001)) values determined from the XRD patterns before and after samples dehydration.
September, 2008 | DOI: 10.1007/s10973-007-8761-9
Materiales y Procesos Catalíticos de Interés Ambiental y Energético
Visible-light driven TiO2 photocatalysts from Ti-oxychloride precursors
Sampedro, R; Colon, G; Fernandez-Garcia, MJournal of Photochemistry & Photobiology, A-Chemistry, 199 (2008) 136-143
Series of nanosized anion-containing TiO2-base materials with anatase-type structure were synthesized from N, Cl-containing precursors using two preparation methods, calcination and hydrotreatment. Samples were conditioned by a final calcination step in order to get free of surface anion impurities and their structural properties characterized by a combined X-ray diffraction (XRD), scanning (SEM) and transmission (TEM) microscopy, X-ray energy dispersive (XEDS), X-ray photoelectron (XPS), and diffuse reflectance infrared Fourier transform (DRIFFS) Study. The structural characterization was used to interpret the UV-vis spectra. The resulting joint information allowed the rationalization of the photocatalytic activity observed for the visible-light-assisted liquid-phase degradation of phenol. We founded that maximization of photoactivity is not related with the net absorption power of our systems in the visible range but mostly driven by a combination of two characteristics; the adequate morphological properties and the presence of negatively charged N-containing species.
September, 2008 | DOI: 10.1016/j.jphotochem.2008.05.008
Materiales Ópticos Multifuncionales
Comment on "Observation of higher-order diffraction features in self-assembled photonic crystals"
Dorado, LA; Depine, RA; Miguez, HPhysical Review A, 78 (2008) 037801
The purpose of this Comment is to show that we find that the conclusions presented in a paper by Nair and Vijaya [Phys. Rev. A 76, 053805 (2007)], concerning the perfect periodic ordering of self-assembled photonic crystals, are not supported and contradict previous studies of this matter.
September, 2008 | DOI: 10.1103/PhysRevA.78.037801
Materiales de Diseño para la Energía y Medioambiente
High-temperature mechanical properties of porous NaMgF3 derived from directionally solidified NaMgF3-NaF eutectics
Ramirez-Rico, J; de Arellano-Lopez, AR; Martinez-Fernandez, J; Larrea, A; Orera, VMJournal of The European Ceramic Society, 28 (2008) 2451-2457
Porous NaMgF3 ceramics have been fabricated by leaching a NaF-NaMgF3 eutectic in distilled water, producing NaMgF3 with 53% of connected porosity. The eutectic was fabricated using the Bridgman technique at growth rates of 8, 10 and 15 mm/h. The microstructure and composition of the resulting material has been studied by means of X-ray diffraction and SEM. Compression mechanical tests have been performed at different temperatures up to 750 degrees C, both in constant strain rate and constant stress loading. The microstructure consists of plate-like grains with cylindrical pores in approximately hexagonal packing. Pores are perpendicular in adjacent grains. The compressive strength is found to be rather independent of growth rate, in the range studied. Small differences can be explained using a minimum solid area (MSA) model and differences in the microstructure. In creep experiments, no steady-state regime was observed. Instead, the strain exhibited a series of accelerations that could be associated with damage propagation.
September, 2008 | DOI: 10.1016/j.jeurceramsoc.2008.04.002
Nanotecnología en Superficies y Plasma
Reversible superhydrophobic to superhydrophilic conversion of Ag@TiO2 composite nanofiber surfaces
Borras, A; Barranco, A; Gonzalez-Elipe, ARLangmuir, 24 (2008) 8021–8026
A new type of superhydrophobic material consisting of a surface with supported Ag@TiO2 core-shell nanofibers has been prepared at low temperature by plasma-enhanced chemical vapor deposition (PECVD). The fibers are formed by an inner nanocrystalline silver thread which is covered by a TiO2 overlayer. Water contact angles depend on the width of the fibers and on their surface concentration, reaching a maximum wetting angle close to 180 degrees for a surface concentration of similar to 15 fibers mu m(-2) and a thickness of 200 nm. When irradiated with UV light, these surfaces become superhydrophilic (i.e., 0 degrees contact angle). The decrease rate of the contact angle depends on both the crystalline state of the titania and on the size of the individual TiO2 domains covering the fibers. To the best of our knowledge, this is one of the few examples existing in the literature where a superhydrophobic surface transforms reversibly into a superhydrophilic one as an effect of light irradiation.
August, 2008 | DOI: 10.1021/la800113n
Fotocatálisis Heterogénea: Aplicaciones
Functionalisation versus mineralisation of some N-heterocyclic compounds upon UV-illumination in the presence of un-doped and iron-doped TiO2 photocatalysts
Navio, J. A.; Macias, M.; Garcia-Gomez, M.; Pradera, M. A.Applied Catalysis B-Environmental, 82 (2018) 225-232
Heterogeneous photocatalytic oxidation of some N-heterocyclic compounds (4-picoline, and 6- and 8-methylquinoline) in oxygenated solvents (water or acetonitrile), containing dispersed photocatalyst (un-doped or iron-doped titanium dioxide), was investigated under UV-illumination in a photochemical reactor. This work aimed to correlate experimental parameters such as structural aspects of the substrates, photocatalyst chemical and surface properties. illumination times, and the nature of the solvent with the extent of mineralisation of the substrates and, also, possible selective methyl group functionalisation.
Analysis of the products resulting from heterogeneous photocatalytic oxidation of 6- and 8-methylquinoline suspensions in oxygenated acetonitrile with illumination periods of <24 h detected, in both cases, the corresponding formyl derivatives quinoline-6- and -8-carbaldehyde, though at low levels. The presence of water appeared to inhibit heterogeneous photocatalytic functionalisation. However, the heterogeneous photocatalytic degradation of such compounds in water proceeds via polyhydroxylated intermediates which consequently undergo mineralisation, which, from a pollution control perspective is beneficial.
The physicochemical properties of the photocatalyst were also shown to be influential. Particularly, differences in the affinity to, and mode of adsorption of the substrate compounds studied gave rise to differences in the extent of oxidation.
Analysis of photogenerated oxidation products enabled some mechanistic insight into the course of the semiconductor-mediated reaction.
The results obtained allow a useful comparison of the functionalisation of N-Heterocyclic compounds via heterogeneous photocatalytic processes in the absence of water, to those carried out in the presence of water, which gave complete tnineralisation.
August, 2008 | DOI: 10.1016/j.apcatb.2008.01.028
Reactividad de Sólidos
Nitriding study of titanium silicide intermetallics obtained by mechanical alloying
Cordoba, J. M.; Alcala, M. D.; Sayagues, M. J.; Aviles, M. A.; Real, C.; Gotor, F. J.Intermetallics, 16 (2008) 948-954
Titanium and silicon powder blends were ball-milled under an inert atmosphere and subsequently annealed in a nitrogen atmosphere. Ti62.5Si37.5, Ti55.6Si44.4, and Ti50Si50 mixtures suffered a mechanically induced self-propagating reaction during milling. The products of the combustion were Ti5Si3 for the Ti62.5Si37.5 mixture and a combination of intermetallic phases for the Ti55.6Si44.4 and Ti50Si50 mixtures. The Ti33.3Si66.7 blend did not show an MSR process, but prolonged milling allowed the formation of a mixture of stable C54–TiSi2 and metastable C49–TiSi2 by a diffusion reaction. The nitriding study showed a different behaviour for C54–TiSi2 and Ti5Si3. C54–TiSi2 nitriding took place in a two-step process: the first corresponded to the formation of TiN and Si and the second to the silicon nitriding leading to the formation of α- and β-Si3N4. However, silicon and titanium nitriding primarily occurred simultaneously during the annealing of Ti5Si3, and the final product was a mixture of TiN and α-Si3N4.
August, 2008 | DOI: 10.1016/j.intermet.2008.04.009
Materiales Coloidales - Nanotecnología en Superficies y Plasma - Materiales Ópticos Multifuncionales
Response of nanoparticle-based one-dimensional photonic crystals to ambient vapor pressure
Colodrero, S; Ocana, M; Gonzalez-Elipe, AR; Miguez, HLangmuir, 24 (2008) 9135–9139
Herein we report an analysis of the variation of the optical properties of different nanoparticle-based one-dimensional photonic crystal architectures versus changes in the ambient vapor pressure. Gradual shift of the optical response provides us with information on the sorption properties of these structures and allow us to measure precise adsorption isotherms of these porous multilayers. The potential of nanoparticle-based one-dimensional photonic crystals as base materials for optical sensing devices is demonstrated in this way.
August, 2008 | DOI: 10.1021/la801210q
Reactividad de Sólidos
A simple and precise linear integral method for isoconversional data
Ortega, A.Thermochimica Acta, 474 (2008) 81-86
A simple and precise linear integral method to evaluate the activation energy dependence oil the extent of conversion has been proposed. The method leads to consistent results with those from differential and integral non-linear procedure (Vyazovkin method). Moreover, the new procedure yields the pre-exponential factor and the kinetic model. The method was evaluated from isothermal, non-isothermal and non-linear non-isothermal data (CRTA).
August, 2008 | DOI: 10.1016/j.tca.2008.05.003
Materiales Ópticos Multifuncionales
Experimental and theoretical analysis of the intensity of beams diffracted by three-dimensional photonic crystals
Dorado, LA; Depine, RA; Schinca, D; Lozano, G; Miguez, HPhysical Review B, 78 (2008) 075102
An analysis of the diffracted beams emerging from three-dimensional photonic crystals is herein presented. The wave vectors of nonspecular beams are calculated for a triangular two-dimensional lattice and the change in their directions as a function of the wavelength is confirmed experimentally for the case of face-centered-cubic colloidal crystals illuminated under normal incidence. A fluctuating behavior of beam intensity as a function of the wavelength of the incident light is predicted for perfectly ordered lattices. As it is the case for specularly reflected and ballistically transmitted beams, this modulation arises from multipole resonances of the sphere ensemble that are smoothed out via the diffuse light scattering produced by imperfections in the crystalline structure. When optical extinction is introduced in order to model the effect of imperfections, it is possible to accurately reproduce experimental observations.
August, 2008 | DOI: 10.1103/PhysRevB.78.075102
Materiales y Procesos Catalíticos de Interés Ambiental y Energético
Morphology changes induced by strong metal-support interaction on a Ni-ceria catalytic system
Gonzalez-DelaCruz, VM; Holgado, JP; Pereniguez, R; Caballero, AJournal of Catalysis, 257 (2008) 307-314
The state of the nickel in a Ni/CeO2 catalyst during hydrogen reduction, steam and dry reforming of methane, have been studied by means of in situ XAS spectroscopy. The catalyst was prepared by a combustion method and, after calcination, very small (about 10 nm) and homogeneous cubic particles of NiO are formed. Once reduced in hydrogen at high temperature (750 °C), the catalyst is active in both steam and dry reforming reactions of methane, but much more stable for the dry reforming reaction. In situ XAS analysis reveals that under reaction conditions at high temperature, the nickel remains completely reduced to Ni(0). However, under strongly reducing conditions (hydrogen or dry reforming at 750 °C), the Ni K-edge X-ray absorption spectrum undergoes unexpected modifications that, according to the parameters obtained by fitting analysis, come from changes in the size and morphology of nickel particles, which are now flattened and strongly stabilized on the partially reduced ceria surface. These morphology changes reflect a kind of strong metal–support interaction (SMSI), and could account for the higher stability observed for the dry reforming reaction. The flattened particles are not stable after cooling down to room temperature in hydrogen, while the coke deposited during the dry reforming reaction seems to block the particles, which partially remain even after cooling down to room temperature.
July, 2008 | DOI: 10.1016/j.jcat.2008.05.009
- ‹ previous
- 37 of 38
- next ›
icms











